Físico trabalha em máquina do tempo para reencontrar o pai morto

Físico trabalha em máquina do tempo para reencontrar o pai morto

Um físico teórico quer construir uma máquina do tempo para voltar ao passado e avisar seu pai sobre o ataque de coração que iria matá-lo na noite de seu aniversário de casamento.

Ron Mallett, de 69 anos, tinha 11 quando seu pai morreu. Professor da universidade de Connecticut, nos Estados Unidos, Mallett dedicou sua vida a estudar o ramo da física que estuda o tempo e espaço, desenvolvendo equações derivadas das leis criadas por Albert Einstein no começo do século XX.

Após passar a vida dando aulas sobre a possibilidade da viagem no tempo, ele resolveu criar uma máquina para provar que essa jornada é possível. Para isso, Mallett corre atrás de patrocínio para a primeira parte do projeto, um estudo que irá comprovar a possibilidade da viagem ao tempo.

Um protótipo do aparelho já está sendo construído na universidade de Connecticut, descrito como uma “máquina repleta de anéis de raios laser da cor verde, que circulam dentro de um tubo de vidro”.

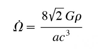
Todo o trabalho de Ron Mallett culminou e atualmente é baseado em uma equação publicada em 2000:

download

Ela descreve como um nêutron pode ser movido ou arrastado quando o espaço que ele ocupa está sendo retorcido por um laser.

A teoria de Einstein conectou tempo e espaço. Logo, se o espaço pode ser torcido, então o tempo também pode ser entortado para formar uma espécie de laço. Não sendo mais linear, o tempo se torna uma estrada circular que pode ser trafegada em ambas às direções: passado e futuro.

Mallett exemplifica sua teoria usando uma xícara de café: o líquido representa o espaço vazio. A colher é o laser que perturba esse espaço. Ao jogar um grão de café (ou nêutron) no copo, ele irá criar redemoinhos no café. Se o líquido for suficiente mexido, o espaço também será alterado e irá dar um nó em si próprio.

Em entrevista à Bloomberg, Mallett afirma que manteve seu trabalho sobre viagem no tempo escondido por muito tempo, pois tinha medo da comunidade científica achar que ele era louco. Após a publicação de sua equação em 2001, ele “saiu do armário”, nas suas palavras.

Outros cientistas renomados passaram a dar valor a sua teoria, incluindo Kip Thorne, talvez o físico mais importante do mundo atualmente. Throne foi o principal consultor dos roteiristas de Interestelar, filme que explora ideias sobre viagem no tempo.

A ideia de Mallett é arrecadar 250 mil dólares para terminar o protótipo da máquina e viabilizar o resto do projeto.

“Toda minha existência, quem eu sou, aconteceu por causa da morte do meu pai e minha promessa de entender como afetar o tempo usando o trabalho de Einstein como fundação”, afirma o físico.

 Fonte: Info Abril



Deixe seu comentário

Os comentários são de responsabilidade exclusiva de seus autores e não representam a opinião deste site. Se achar algo que viole os termos de uso, denuncie.